欢迎进入上海茂硕机械设备有限公司网站!
24小时热线电话:15214375780
电机参数测量——永磁同步电机控制
更新时间:2024-01-03
点击次数:825
永磁同步电机控制中,无论是有感FOC或无感FOC,获取准确的电机参数可以提高控制器和观测器的性能。在现代控制理论中,建立系统的数学模型是至关重要的一环,特别是无感FOC中观测器。理论上电压方程、磁链方程和力矩方程中物理量能准确测量,建立模型的话,可以实现电机性能的极大优化,具体包括电参数转子极对数(p)、定子电阻(R)、DQ轴电感(L)、反电动势系数(Kv)、永磁体磁链和机械参数转动惯量(J)、转矩常数、摩擦系数等。其中机械参数往往难以测量,通常在调试过程中确定,本文主要介绍电气参数常用、简单的测量方法。
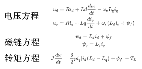
永磁同步电机的电压方程、磁链方程和力矩方程如图1所示。

永磁同步电机的转子极对数指转子磁极的对数,是电角度和机械角度的比值。如图2所示的永磁同步电机a为三对极,b为四对极。

测量方法:
1.将电机的A相接电源的正极,B相接电源的负极,C相可悬空,注意电源限流点设置在0.2A左右即可,不要设置太高,不然可能损坏电机;
2.手动转动电机转子,在每个转子稳定位置做好标记;
3.转子旋转一周后,转子极对数等于转子稳定位置的个数;
永磁同步电机三相线圈可视为电阻R和电感L的串联模型,电阻R通常在毫欧级别,电感L通常在微亨级别,万用表的精度是远远不够的,通常需要借助于电桥或逆变器进行测量。

测量方法1:使用电桥进行测量,使用电桥测试定子电阻时,设置测量频率为100HZ为佳,测量DQ轴电感时,设置测量频率为1kHZ或10kHZ为佳。
1.测量内阻时,用电桥连接电机的任意两相,定子电阻为测量值的一半。
2.测量电感时,同样用电桥连接电机的任意两相,同时缓慢转动电机转子,待转子稳定再后读取电桥测量结果,D轴电感为数值较小者的一半,Q轴电感为数值较大者一半,大多数的表贴式永磁同步电机的DQ轴电感值近似相等。
测量方法2:在没有电桥的情况下,还可以借助电机驱动器测量定子电阻(R)和DQ轴电感(L)。
1.向逆变器施加(d,q)坐标系下于两相坐标系下alfa轴相重叠的电压矢量ud=常数,uq=0,稳态时电机静止,电压方程中电角速度为0,同时电流微分也为0,测出此时的电流id,根据电压方程可得定子相电阻。实际上,为了消除死区的影响和功率器件的导通压降,经常采用差分算法来辨识电阻,具体做法就是就是向逆变器施加两组不同幅值的电压矢量ud1=常数,uq1=0、ud2=常数,uq2=0,然后测得两组电流id1、id2,最后可得相电阻的计算公式:

在差分辨识电阻的时候,给定电压是要小心选择的,最好是电流的线性关系和电压的线性关系一致,比如给定电压是呈2倍关系,那么电流也应该大致呈2倍关系,如果偏差太大,说明选取的给定电压不太合适。
2.在向逆变器施加(d,q)坐标系下电压矢量ud=常数,uq=0时,电机转子是不会转动的,此时的电机d轴就是一个一阶惯性环节,时间常数为L/R。记录下此时d轴电流i的上升曲线,根据一阶惯性环节的性质,当d轴电流从0上升到稳态值的63.2%时,所经历的时间t刚好等于时间常数L/R,在得到定子电阻(R)值,可根据时间常数t得到电感(L)值:

反电动势系数和永磁体磁链其实表征同一个概念,指电机旋转时,磁链产生电动势相对于转速的比例关系,反电动势系数kv的单位为V.s/rad,而永磁体磁链单位为Wb,两个单位可以互相转化。
测量方法:测量反电动势系数时,需要借助示波器。
1.用示波器探头连接电机的任意两相,测量反电动势的线电压;
2.因为反电动势值一般较小,尽量以较快速度转动电机,然后捕获此时的反电动势波形;
3.根据公式计算电机的反电动势系数;

正规电机厂家电机出厂时,都会配有详细参数的规格书,但现在市面上大部分电机没有相应规格书,为了得到更好的控制性能,有必要对电机参数进行测量。无论是电桥测得参数(受测量设备精度影响),还是逆变器测得参数(受逆变器非线性、采样精度等影响),测量所得参数都可能具有一定误差,在电机调试过程中,不要迷信测量所得参数,有必要时需要进行不断的修正。
15214375780
扫描微信号